먼저 아래 패키지를 설치합시다.
install.packages("survival")
survival 패키지에는 대장암 데이터인 colon 데이터가 들어 있습니다.
패키지를 불러옵니다.
library(survival)
데이터를 변수에 저장해줍니다.
data=colon
이후 과정은 번호를 붙여 진행하겠습니다.
1. 데이터 살펴보기
str함수를 이용하여 변수들을 살펴봅시다.
> str(colon)
'data.frame': 1858 obs. of 16 variables:
$ id : num 1 1 2 2 3 3 4 4 5 5 ...
$ study : num 1 1 1 1 1 1 1 1 1 1 ...
$ rx : Factor w/ 3 levels "Obs","Lev","Lev+5FU": 3 3 3 3 1 1 3 3 1 1 ...
$ sex : num 1 1 1 1 0 0 0 0 1 1 ...
$ age : num 43 43 63 63 71 71 66 66 69 69 ...
$ obstruct: num 0 0 0 0 0 0 1 1 0 0 ...
$ perfor : num 0 0 0 0 0 0 0 0 0 0 ...
$ adhere : num 0 0 0 0 1 1 0 0 0 0 ...
$ nodes : num 5 5 1 1 7 7 6 6 22 22 ...
$ status : num 1 1 0 0 1 1 1 1 1 1 ...
$ differ : num 2 2 2 2 2 2 2 2 2 2 ...
$ extent : num 3 3 3 3 2 2 3 3 3 3 ...
$ surg : num 0 0 0 0 0 0 1 1 1 1 ...
$ node4 : num 1 1 0 0 1 1 1 1 1 1 ...
$ time : num 1521 968 3087 3087 963 ...
$ etype : num 2 1 2 1 2 1 2 1 2 1 ...
종속변수는 status 입니다. 1이면 대장암 재발 또는 사망입니다. 독리변수는 rx, sex, age, obstruct, perfor, adhere, nodes, differ, extent, surg 로 놓겠습니다. 대장암 여부를 예측하는 모델을 만드는 것이 목적입니다.
2. 결측치 확인 및 제거
결측치를 확인하고 제거해줍니다 .
#결측치 위치 확인 함수
where.na.df=function(df){
res=data.frame(row=NA,col=NA)
for (i in 1:dim(df)[1]){
for (j in 1:dim(df)[2]){
if (is.na(df[i,j])){
res=rbind(res,c(i,j))
}
}
}
res=res[-1,]
rownames(res)=NULL
return(res)
}
where.na.df(data) #결측치 위치확인
data = na.omit(data) #결측치 제거
인스턴스의 개수가 1858에서 1776으로 줄었습니다.
> dim(data)
[1] 1776 16
3. 훈련데이터셋, 테스트데이터셋 나누기
데이터를 훈련데이터셋과 테스트데이터셋으로 나누겠습니다. 전체의 25%를 테스트 데이터셋으로 만들겠습니다. 코드는 아래와 같습니다.
set.seed(999)
id_test=sample(1:nrow(data),nrow(data)*0.25)
data_test=data[id_test,]
data_train=data[setdiff(1:nrow(data),y=id_test),]
4. 모델 만들기
대장암을 예측하는 모델을 만들 것입니다. 서포트 벡터머신을 사용합니다. e1071 패키지입니다. svm 함수를 사용합니다. kernal, cost, gamma 등의 파라미터를 설정해주어야 합니다. 나머지는 디폴트 값으로 놓고 kernal 만 radial 로 설정합니다. 기초강의이므로 자세히 다루지는 않겠습니다.
model_svm = svm(
status ~ rx + sex + age + obstruct + perfor + adhere + nodes + differ +
extent + surg,
data = data_train,
kernel = "radial",
probability = TRUE
)
모델 생성 결과는 아래와 같습니다.
> model_svm
Call:
svm(formula = status ~ rx + sex + age + obstruct + perfor + adhere + nodes + differ + extent + surg,
data = data_train, kernel = "radial", probability = TRUE)
Parameters:
SVM-Type: eps-regression
SVM-Kernel: radial
cost: 1
gamma: 0.08333333
epsilon: 0.1
Sigma: 0.7715177
Number of Support Vectors: 1163
파라미터들을 변경하며 튜닝할 수 있습니다.
6. 모델 평가
predict 함수를 이용하여 테스트셋의 결과변수를 구해줍니다. type 을 response 로 설정하면 확률이 반환됩니다. 해당 확률이 0.5보다 높은 경우를 1로, 낮은 경우를 0으로 반환한 뒤, test 데이터의 status 와 비교합니다. 이때 TRUE 의 비율이 정확도입니다. mean 으로 구한 평균이 TRUE 비율입니다. 잘 생각해보시면 이해가 되실겁니다.
pred = predict(model_svm, data_test, type = 'response')
mean(ifelse(pred > 0.5, 1, 0) == data_test$status)
정확도는 66.4% 입니다.
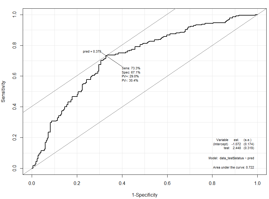
test 데이터에 대해 ROC 곡선도 그려봅시다.
library(Epi)
ROC(test=pred,stat=data_test$status,plot="ROC")

코드 모아보기
library(survival)
#1.데이터
data = colon
#2.결측치확인 및 제거
#결측치 위치 확인 함수
where.na.df = function(df) {
res = data.frame(row = NA, col = NA)
for (i in 1:dim(df)[1]) {
for (j in 1:dim(df)[2]) {
if (is.na(df[i, j])) {
res = rbind(res, c(i, j))
}
}
}
res = res[-1, ]
rownames(res) = NULL
return(res)
}
where.na.df(data) #결측치 위치확인
data = na.omit(data) #결측치 제거
#3.훈련데이터셋, 테스트데이터셋 나누기
set.seed(999)
id_test = sample(1:nrow(data), nrow(data) * 0.25)
data_test = data[id_test, ]
data_train = data[setdiff(1:nrow(data), y = id_test), ]
#4.모델 만들기
library(e1071)
model_svm = svm(
status ~ rx + sex + age + obstruct + perfor + adhere + nodes + differ +
extent + surg,
data = data_train,
kernel = "radial",
probability = TRUE
)
#5.모델 평가하기
pred = predict(model_svm, data_test, type = 'response')
mean(ifelse(pred > 0.5, 1, 0) == data_test$status)
#roc curve
library(Epi)
ROC(test = pred,
stat = data_test$status,
plot = "ROC")
댓글